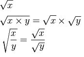
AVOIR POUR RÉCIPROQUE (MATHÉMATIQUES)

  
FICHIER PDF
FICHIER WMV(VIDEO)
Date/Heure : Sigle : Code :
Nom Long : Nom (Anglais) :
Résumé (Anglais) :
Résumé :
Site Internet d'origine: Ouvrir
Pays Région Ville
Site Web Exterieur : Ouvrir Email : Ecrire
Vidéo :
modification : 0000-00-00 00:00:00 création : 2013-02-05 19:54:33
CHIFFRES ASSOCIE(S) :
Pas de données chiffrées pour cet élément

Utilisé comme Action dans :

abonné :

articles

(Sans Date Actif )

FONCTION RACINE CARRÉE

 

 

articles

(Sans Date Passif )

FONCTION CARRÉE

 

 


Objets associés à AVOIR POUR RÉCIPROQUE :

abonné :

articles

(Sans Date Actif)

LOCUTION VERBALE

 

 

MATHÉMATIQUES

 

 

adjectifs

(Sans Date Actif)

  

RÉCIPROQUE