DONNÉE (INFORMATIQUE) (INFORMATIQUE)

+ Pays-Region-Ville
  
FICHIER PDF
FICHIER WMV(VIDEO)
Date/Heure : Sigle : Code :
Nom Long : Nom (Anglais) :
data
Résumé (Anglais) :
Résumé :
Site Internet d'origine: Ouvrir
Pays Région Ville
Site Web Exterieur : Ouvrir Email : Ecrire
Vidéo :
modification : 2018-10-02 18:30:27 création : 2013-04-25 11:17:18
CHIFFRES ASSOCIE(S) :
Pas de données chiffrées pour cet élément

Objets associés à DONNÉE (INFORMATIQUE) :

abonné :

oeuvres

(Sans Date Passif)

  

ANALYSEUR DE PAQUETS

 

sniffer

  

BDD

BASE DE DONNÉES

 

database

  

BDD

BASE DE DONNÉES

 

database

  

BLOB

BINARY LARGE OBJECT

 

 

  

CHEVAL DE TROIE (REGISTRE DES APPLICATIONS INFORMATIQUES)

 

trojan horse

  

ETL

EXTRACT-TRANSFORM-LOAD

 

 

MDM

GESTION DES DONNÉES DE RÉFÉRENCE

 

master data management

  

JSON

JAVASCRIPT OBJECT NOTATION

 

 

  

PROGRAMME INFORMATIQUE

 

program

  

QUESTIONNAIRE DE SATISFACTION

Enquête de satisfaction

satifaction survey

oeuvres

(Sans Date Actif)

  

DOCUMENT

 

 

IMAGE

 

image

  

SON (GENRE DES OEUVRES)

 

 

oeuvres

(Avec Date Passif)

CARTES ET DONNÉES

 

 

1989

(FRANCE)

  

PGP

PRETTY GOOD PRIVACY

assez bonne confidentialité

 

1991

(ÉTATS-UNIS)

  

XML

EXTENSIBLE MARKUP LANGUAGE

 

 

1997

YAML

YAML

 

yet another markup language

2001

APPLICATION PILOTE - REPORTING HEBDOMADAIRE NATIONAL

 

 

2003

APPLICATION PILOTE - REPORTING HEBDOMADAIRE NATIONAL

 

 

2003

WEB DATA MANAGEMENT (CAMBRIDGE UNIVERSITY PRESS) (INRIA)

 

 

2011

REPRÉSENTATION DE DONNÉES ARBORESCENTES À L'AIDE DE D3JS

 

 

2012

  

CHART.JS

 

 

2013

GRAFANA

 

 

2014

oeuvres

(Avec Date Actif)

GSI

PROGRAMME DE GESTION DES SYSTÈMES D'INFORMATION (TERMINALE)

 

 

2005

(FRANCE)

  

SOCLE INFORMATIQUE COMMUN BTS AM - BTS MUC - BTS NRC

(DM)

 

2018

  

MÉTHODOLOGIE DE LA PRODUCTION DE LOGICIEL

I Système d'information dans les organisations - II Projet Informatique

 

2018

(FRANCE)

collectifs

(Sans Date Passif)

  

ÉQUIPE OPÉRATIONNELLE

 

task force

collectifs

(Avec Date Passif)

INFORMATICA CORPORATION

 

 

1993

(ÉTATS-UNIS)

  

TALEND

 

 

2005

(ÉTATS-UNIS)

FING

 

 

2010

(FRANCE)

produits

(Sans Date Passif)

  

BUS DE DONNÉES

 

databus

CAPTEUR

 

 

  

CD-ROM

cédérom

compact disk read-only memory

  

CLÉ USB

 

usb key

  

DISQUE DUR

 

hard disk

  

LECTEUR CD-ROM

 

 

  

LECTEUR CD-ROM

 

 

  

SUPPORT DE STOCKAGE DE DONNÉES INFORMATIQUES

 

 

evenements

(Sans Date Passif)

  

MISE À JOUR DE DONNÉE

 

 

lieux

(Avec Date Passif)

INSTITUT D'OPTIQUE GRADUATE SCHOOL

 

 

1917

(ESSONNE FRANCE)

VOIR SUR LA CARTE 1 lieux et événements

actions

(Sans Date Passif)

  

CTRL+V

COLLER (INFORMATIQUE)

 

paste
  

COMMUNIQUER (INFORMATIQUE)

 

 
  

CONSOLIDER (INFORMATIQUE)

 

 
  

CTRL+C

COPIER (INFORMATIQUE)

 

copy
  

CTRL+X

COUPER (INFORMATIQUE)

 

 
  

DIFFUSER (INFORMATIQUE)

 

 
  

FILTRER (INFORMATIQUE)

 

 
  

FOUILLER (INFORMATIQUE)

 

 
  

LIRE (INFORMATIQUE)

 

 
  

MESURER LE TRAFIC

 

 

actions

(Sans Date Actif)

CODER (INFORMATIQUE)

 

 

articles

(Sans Date Passif)

  

=NBVAL()

 

 

  

ACQUISITION DE DONNÉES

 

 

APPRENTISSAGE AUTOMATIQUE

Machine Learning

machine learning

ARBRE (DONNÉE)

THÉORIE DES GRAPHES

 

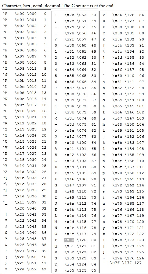
ASCII

ASCII

 

american standard code for information interchange

(MONDE )

  

ASSOCIER UN MODE DE TRANSMISSION À UN BESOIN DONNÉ

Associer un mode de transmission à un besoin donné

 

  

ATM

ASYNCHRONOUS TRANSFER MODE

 

 

  

BIG DATA

 

 

CODAGE (INFORMATIQUE)

 

 

  

CODEC

 

 

articles

(Sans Date Actif)

  

DONNÉE

 

 

INFORMATIQUE

 

computing

  

MAÎTRISE DES TECHNIQUES USUELLES DE L'INFORMATION ET DE LA COMMUNICATION

4 ÈME COMPÉTENCE au collège

 

  

nbr

NOMBRE

 

 

  

NUMÉRISATION

DIGITALISATION

digitalization

articles

(Avec Date Passif)

CODAGE DE HUFFMAN

 

 

1952

OSI

MODÈLE OPEN SYSTEMS INTERCONNECTION

 

 

1970

(MONDE )

  

GSM

GLOBAL SYSTEM FOR MOBILE

 

 

1982

Y A-T-IL DES COMPÉTENCES DATA SPÉCIFIQUES

 

 

2013

(FRANCE)

  

MACHINE LEARNING (TOM)

 

 

2019

adjectifs

(Sans Date Passif)

  

EN DUR

 

 

adjectifs

(Sans Date Actif)

  

BRUT (ADJECTIF)

 

 

  

DISPARATE

 

 

  

INTÈGRE

 

 

  

QUALITATIF

 

 

  

QUANTITATIF

 

 

  

REDONDANT

 

 

  

UNIQUE