FACTORISATION (MATHÉMATIQUES) (MATHÉMATIQUES)

  
FICHIER PDF
FICHIER WMV(VIDEO)
Date/Heure : Sigle : Code :
Nom Long : Nom (Anglais) :
Résumé (Anglais) :
Résumé :
Site Internet d'origine: Ouvrir
Pays Région Ville
Site Web Exterieur : Ouvrir Email : Ecrire
Vidéo :
modification : 2016-01-02 02:21:51 création : 2013-02-05 18:52:19
CHIFFRES ASSOCIE(S) :
Pas de données chiffrées pour cet élément

Objets associés à FACTORISATION (MATHÉMATIQUES) :

abonné :

oeuvres

(Sans Date Actif)

  

PROGRAMME COLLÈGE 3ÈME

 

 

articles

(Sans Date Passif)

  

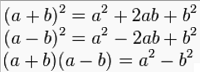
IDENTITÉ REMARQUABLE

 

 

articles

(Sans Date Actif)

MATHÉMATIQUES