Objets associés à PROGRAMME COLLÈGE 3ÈME :

abonné :

oeuvres

(Sans Date Passif)

CARTE EUROPE AVEC VILLES (2013)

 

 

CARTE FRANCE CLIMAT

 

 

(FRANCE)

CARTE FRANCE DEPARTEMENT-REGION

 

 

(FRANCE)

CARTE FRANCE RELIEF ET HYDROGRAPHIE MUETTE

 

 

(FRANCE)

GEOGEBRA

 

 

MUSIQUE

 

music

  

VILLES DU MONDE LES PLUS PEUPLÉES (2012)

 

 

(MONDE )

oeuvres

(Sans Date Actif)

  

PROGRAMME SCOLAIRE

 

school curriculum

oeuvres

(Avec Date Passif)

LA MARSEILLAISE

 

 

1792

(FRANCE)

MEIN KAMPF (LIVRE)

 

 

1925

(ALLEMAGNE)

NOMBRE DE CHOMEUR EN ALLEMAGNE DURANT L'ENTRE DEUX GUERRES

 

 

1928

(ALLEMAGNE)

TRIPTYQUE DE LA GUERRE

 

 

1932

(ALLEMAGNE)

  

LES TEMPS MODERNES (FILM)

 

modern times

1936

(ÉTATS-UNIS)

  

LA CIVILISATION MA MÈRE

 

 

1972

(FRANCE)

  

HYMNE EUROPÉEN (LUDWIG VAN BEETHOVEN)

9ÈME SYMPHONIE

 

1985

(UNION EUROPÉENNE )

  

LA SYNTAXE ÉCRITE DES ÉLÈVES DU SECONDAIRE

 

 

1988

(FRANCE)

ADI SCIENCE COLLÈGE

 

 

1998

(FRANCE)

  

C'EST ARRIVÉ PRÈS DE CHEZ NOUS

La France sous l'Occupation

 

2002

(FRANCE)

oeuvres

(Avec Date Actif)

PROGRAMMES DE L'ENSEIGNEMENT DE TECHNOLOGIE AU COLLÈGE

 

 

2008

(FRANCE)

personnes

(Avec Date Passif)

  

GEORGES CLEMENCEAU

 

1841

(FRANCE)

  

ALFRED DREYFUS

 

1859

(FRANCE)

  

FRANÇOIS MITTERRAND

 

1916

(FRANCE)

  

DRISS CHRAÏBI

 

1926

(MAROC)

  

JACQUES CHIRAC

 

1932

(PARIS FRANCE)

collectifs

(Sans Date Passif)

  

CAC 40

 

 

(FRANCE)

CAF

CAISSE D'ALLOCATIONS FAMILIALES

 

 

(FRANCE)

  

EXÉCUTIF

 

 

FINANCIER

 

 

  

LIMOUSIN

 

 

  

LÉGISLATIF

 

 

MINISTÈRE DE L'ÉCONOMIE ET DES FINANCES

 

 

(FRANCE)

  

PROFESSEUR DE LYCÉE ET COLLÈGE

 

teacher

collectifs

(Sans Date Actif)

  

FORMATION NIVEAU 2

Formation Niveau V (Collège, DNB, DNB pro)

 

collectifs

(Avec Date Passif)

AN

ASSEMBLÉE NATIONALE

 

 

1789

(PARIS FRANCE)

POILU (HISTOIRE DE FRANCE)

 

 

1914

(FRANCE)

CNAM

ASSURANCE MALADIE

 

 

1945

(FRANCE)

ONU

ORGANISATION DES NATIONS UNIES

 

 

1945

(MONDE )

produits

(Avec Date Passif)

US-DOLLAR

 

 

1792

(ÉTATS-UNIS)

  

DRAPEAU EUROPÉEN

 

 

1955

(UNION EUROPÉENNE )

evenements

(Avec Date Passif)

  

PRISE DE LA BASTILLE

 

 

1789

(FRANCE)

  

JOURNEES REVOLUTIONNAIRES

 

 

1789

(FRANCE)

  

PROCLAMATION DE LA REPUBLIQUE

 

 

1792

(FRANCE)

  

LE PALAIS DE L'ELYSEE DEVIENT LA RESIDENCE DU PRESIDENT DE LA REPUBLIQUE

 

 

1848

(PARIS FRANCE)

LOI SUR LA SEPARATION DE L'EGLISE ET DE L'ETAT

 

 

1905

(FRANCE)

GUERRE 1914-1918

La grande guerre

first world war

1914

(MONDE )

  

L'ALLEMAGNE DÉCLARE LA GUERRE À LA FRANCE (GUERRE 1914-1918)

 

 

1914

(ALLEMAGNE)

BATAILLE DE VERDUN

 

 

1916

(VERDUN FRANCE)

  

TROISIÈME EMPRUNT DE GUERRE (GUERRE 1914-1918)

 

 

1917

(FRANCE)

RÉVOLUTION RUSSE

 

 

1917

(EUROPE RUSSIE)

lieuxgeographiques

(Sans Date Passif)

  

ALLEMAGNE

 

germany

(EUROPE )

  

ALSACE

 

 

(FRANCE)

AMAZONE (RIVIÈRE ET FLEUVE)

 

 

(AMERIQUE DU SUD BRÉSIL)

  

AQUITAINE

 

 

(FRANCE)

  

AUTRICHE

 

austria

(EUROPE )

  

AUVERGNE

 

 

(FRANCE)

  

BASSE-NORMANDIE

 

 

(FRANCE)

  

BELGIQUE

 

belgium

(EUROPE )

  

BERLIN

 

 

(EUROPE ALLEMAGNE)

  

BOURGOGNE

 

 

(FRANCE)

lieuxgeographiques

(Avec Date Passif)

VOIE SACRÉE (GUERRE 1914-1918)

 

 

1916

(VERDUN FRANCE)

URSS

UNION SOVIÉTIQUE

Union des républiques socialistes soviétiques

 

1922

(MOSCOU ASIE RUSSIE)

ALLEMAGNE NAZIE

Troisième Reich

third reich

1933

(BERLIN EUROPE ALLEMAGNE)

RIDEAU DE FER

 

 

1946

(EUROPE )

UE

UNION EUROPÉENNE

 

 

1957

(EUROPE )

MUR DE BERLIN

 

 

1961

(BERLIN EUROPE ALLEMAGNE)

lieux

(Sans Date Actif)

  

COLLÈGE (ENSEIGNEMENT)

 

middle school

lieux

(Avec Date Passif)

  

PALAIS DE L'ELYSEE

 

 

1718

(PARIS FRANCE)

ASSEMBLÉE NATIONALE (SIÈGE SOCIAL)

PALAIS BOURBON

 

1722

(PARIS FRANCE)

PALAIS DU REICHSTAG

 

 

1894

(BERLIN ALLEMAGNE)

CAMP D'AUSCHWITZ - BIRKENAU

 

 

1940

(OSWIECIM POLOGNE)

VOIR SUR LA CARTE 20 lieux et événements

actions

(Sans Date Passif)

  

BOURSICOTER

 

 
  

VOTER LES LOIS

 

 

articles

(Sans Date Passif)

  

APPROPRIATION DU CAHIER DES CHARGES FONCTIONNEL

 

 

CAPITALISME

 

 

(MONDE )

  

DÉVELOPPEMENT (MATHÉMATIQUES)

 

 

  

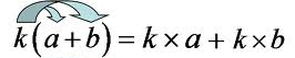
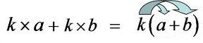
FACTORISATION (MATHÉMATIQUES)

 

 

  

FONCTION AFFINE

 

 

  

FONCTION NUMÉRIQUE

 

 

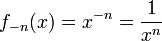
FONCTION PUISSANCE

 

 

  

FONCTION PUISSANCE INVERSE

 

 

  

LAÏCITÉ

 

 

  

PROBABILITÉS

 

 

articles

(Sans Date Actif)

ENSEIGNEMENT

éducation

education

(MONDE )

  

ENSEIGNEMENT SECONDAIRE

 

 

articles

(Avec Date Passif)

  

TAYLORISME

 

 

1880

  

FORDISME

 

 

1908

TVA

TAXE SUR LA VALEUR AJOUTÉE (FRANCE)

 

 

1954

TOYOTISME

 

 

1962

(JAPON)

adjectifs

(Sans Date Passif)

  

JUDICIAIRE

 

 

  

LYRIQUE